Chat with us, powered by LiveChat

EDUCATION OFFICE

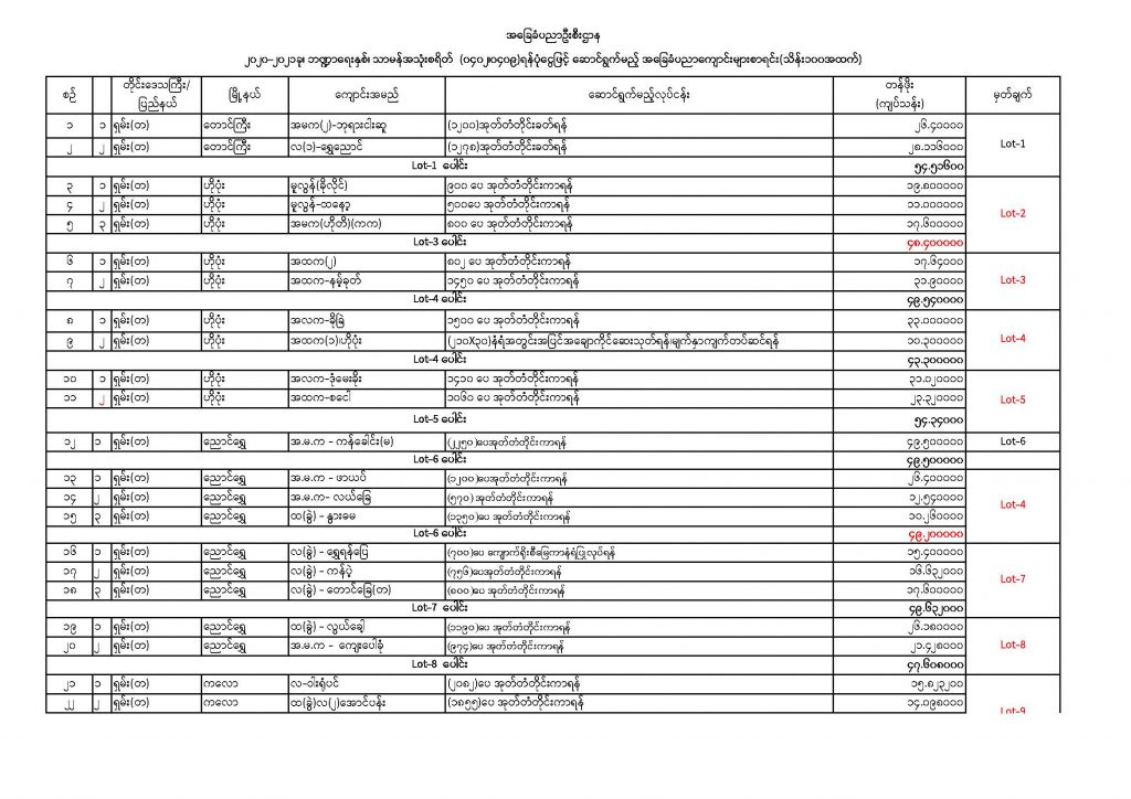
(၀၄၀၂၊၀၄၀၉)ရန်ပုံငွေဖြင့် ဆောင်ရွက်မည့် အခြေခံပညာ ကျောင်းများ အတွက် တင်ဒါခေါ်ယူခြင်း

ပြည်နယ်ပညာ၊တောင်ကြီး ၊ ၂၀၂၀-ပြည်နှစ်၊ နိုဝင်ဘာလ(၂၄)ရက်

၂၀၂၀-၂၀၂၁ ခု၊ဘဏ္ဍာရေးနှစ် ၊ ရှမ်းပြည်နယ်-တောင်ပိုင်း၊ သာမန်အသုံးစရိတ် (၀၄၀၂၊၀၄၀၉)ရန်ပုံငွေဖြင့် ဆောင်ရွက်မည့် အခြေခံပညာကျောင်းများ အတွက်
တင်ဒါလျှောက်လွှာပုံစံများကို ၂၄-၁၁-၂၀၂၀ ရက်နေ့မှ ၁၇-၁၂-၂၀၂၀ ရက်နေ့အထိ
ပြည်နယ်ပညာရေးမှူးရုံး၊ တောင်ကြီးမြို့တွင် လာရောက်လျှောက်ထား ဝယ်ယူနိုင်ပါသည်။

ပြန်စာထားခဲ့ပါ။

သင့် email လိပ်စာကို ဖော်ပြမည် မဟုတ်ပါ။ လိုအပ်သော ကွက်လပ်များကို * ဖြင့်မှတ်သားထားသည်